新股定价 | 紫金黄金国际每股定价71.59港元,公开发售超购近240倍,一手中签率50%

老虎资讯综合2025-09-30

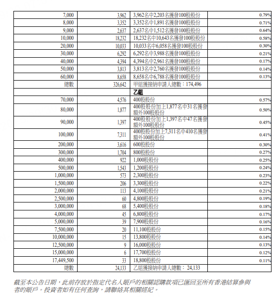
由紫金矿业(02899.HK) 分拆的紫金黄金国际(02259.HK)公布招股结果,香港公开发售接获240.74倍认购,一手(100股)中签率50%。国际发售录得20.38倍认购。

最终发售价为每股71.59港元,全球发售净筹约244.7亿港元。股份预期今日(30日)上市。

免责声明:本文观点仅代表作者个人观点,不构成本平台的投资建议,本平台不对文章信息准确性、完整性和及时性做出任何保证,亦不对因使用或信赖文章信息引发的任何损失承担责任。

精彩评论

  • Hello__tomor
    2025-09-30
    Hello__tomor
    有问题吧,怎么会50%,我上杠杆,60多万,也没中一签啊,
  • 新九流
    2025-09-30
    新九流
    50%中签率没中!
发表看法
2
2