一篇PDF募资15亿美金:揭秘23岁天才的AI对冲基金(基金系列)

宇轩OM
2025-11-20

接下来,我将创立一个【基金系列】,主要写写全球最前沿、最强势的一二级基金,是如何做的?特别是那些重仓AI的二级基金和明星投资人,他们都做了什么?欢迎关注/讨论,一起学习

(也欢迎关注我的微信公众号:AI_Investor2023)

$英伟达(NVDA)$ $CoreWeave, Inc.(CRWV)$

每当有颠覆性技术出现时,投资界也在寻找“新神”。

那些上一代的“古典”投资人,或是越来越“老登”的基金品牌,也在焦虑地寻找新身位。

年轻人拔地而起:一位23岁的前OpenAI研究员,成立了自己的对冲基金——Situational Awareness(态势感知),成为了新明星,管理规模已突破 15 亿美元。

“我想不出有谁会信任一个如此年轻、没有任何基金管理经验的人,”一位利奥波德在OpenAI的前同事直言不讳,“除非我确信基金的治理结构非常完善,否则我绝不会把钱交给一个孩子。”

但这正是华尔街此刻面临的尴尬:那个“孩子”(暂时?)赢了。在 2025 年上半年,他的基金扣费后净回报率高达 47%。

利奥波德之所以能成立这支对冲基金,离不开他发表的一篇165页的文章,这篇深度文章,虽然其实是一个对主流AI公司内部观点的集锦,但观点大胆、发布时机完美,在科技界、投资界甚至政界都火了,这让利奥波德被更多大佬注意到。

原来这样的故事不仅仅在一级市场出现(“20VC”靠播客募集基金),在二级也一样会有。

01、

这位23岁年轻人,如何依靠一篇文章发家

在硅谷的某些角落,利奥波德·阿申布伦纳(Leopold Aschenbrenner)的名字已经成为了“某种密码”。

如果你在2024年之前问他是谁,答案可能是一个“神童”:19岁从哥伦比亚大学毕业,短暂加入过FTX,但后来FTX破产了。随后他加入OpenAI的超级对齐(Superalignment)团队。

但在2024年4月,他因涉嫌泄露信息被OpenAI解雇,虽然利奥波德自己否认这一点。(不过这一点有个趣闻:在一次假日聚会中,利奥波德告诉当时的Scale AI首席执行官Alexandr Wang,OpenAI拥有多少GPU。另一位在场的研究人员所说,“竟然就这么明目张胆地告诉了他”,他对利奥波德如此随意地分享敏感信息感到震惊。)

对于大多数年轻的研究员来说,这可能是职业生涯的终点,但对于利奥波德,这却是他登上更大舞台的起点。

被解雇后的两个月,他发布了一份长达165页的PDF文件,题为《态势感知:未来十年》(Situational Awareness: The Decade Ahead)。

如果您想看这篇文章的原文,可联系我,我发你

这篇文章,如果要说有多么前沿深度的观点,其实倒也没有,它是一篇当时美国主流AI公司内部观点的大集锦,但以一种条理清晰、引人入胜、易于理解的方式写了出来。

并且,利奥波德很会出金句和写“暴论”,比如:

1) 利奥波德详细推演了AGI的时间表,通过一些不太复杂的数学计算(主要是算力和大模型智能的线性扩张),预测到2027年,AGI就会到来。

2) 他营造了一种“现在只有少数人看到了未来”的FOMO感:在文章的引言中,利奥波德写道:这个世界上只有几百位有先见之明的人,才能预见AI的未来,“而他们大多身处旧金山和AI实验室”。即使在ChatGPT及其后续发展之后,世界仍然远未“充分意识到”即将到来的冲击。他成功塑造了一种,你需要以某种方式赶快“上车”,不然就一定会被抛下的紧张感。

3) 他提出美国应该以类似“二战曼哈顿计划”的工业动员级别,来兴起一场AI大建设。他的理由倒是很有意思:对于全人类来说,在AI领域变成“两国争霸”是极其危险的,对人类最优的结果应该是AI由一个超级大国主导。因为AI军备竞赛,势必会因为激烈的竞争,而导致双方都牺牲安全,为了速度,双方都“无视一切限制”冲刺,而一个不受控的AGI,无疑对人类是危险的。所以“势均力敌”,才是最不稳定的状态,那会将全人类,拖入一场为了速度而忽视刹车的“死亡赛车”。只有当一方(他鼓动最好是美国)拥有压倒性优势时,才有余力去踩刹车,去思考如何不翻车。

4) ……(还有很多新颖观点,你可以去看原文,想要原文的可以联系作者。

结果是,这篇文章让利奥波德火了,不仅在科技圈,在投资圈和政界,也都火了,白宫的官员们都在争相传阅这份报告。

特朗普的女儿伊万卡,也在X上转发了这篇文章,并称“这是一篇精彩且重要的文章”

即便是批评者,也承认利奥波德非常擅长包装和营销:“他非常善于把握时代精神——人们感兴趣的是什么,什么内容会爆红,”另一位前OpenAI研究员说,“这是他的超能力。他知道如何构建一个非常符合当下氛围的故事,来吸引有影响力人士的注意力:美国需要战胜竞争对手,我们需要更加重视人工智能安全。即使细节有误,时机也把握得恰到好处。”

随后,利奥波德立刻上了Dwarkesh Patel的播客节目,Dwarkesh Patel是一个类似Lex Fridman的YouTube视频播客博主,Lex Fridman有487万粉丝,Dwarkesh Patel有107万,微软CEO纳德拉、扎克伯格都上过他的节目。

在这期长达4小时的播客中(你可以去YouTube上看:Leopold Aschenbrenner — 2027 AGI, China/US super-intelligence race, & the return of history),利奥波德盛赞了AI的爆炸式增长,并表示:“接下来的十年也将是疯狂的”,届时“资本将至关重要”。他说道,如果一切顺利,“就能赚到很多钱。如果 AGI 明天就被计入股价,你或许能赚到 100 倍的回报。”

然后,利奥波德将他的宏大叙事,与投资工具结合了起来,作为完全没有金融背景、华尔街经验的他,开始募集一支对冲基金,他直接用自己爆红的文章标题Situational Awareness,来命名这家对冲基金(对投资圈的人非常不明觉厉^_^)。

很快,很多硅谷重量级人物纷纷慷慨解囊,谁会拒绝一个23岁、曾经在OpenAI待过、又有这么深度见解的年轻人呢?

现任Meta AI产品负责人兼投资人Nat Friedman(Friedman于 2023 年读到了利奥波德的一篇博客文章后,与他建立了联系)、Stripe的联合创始人 Patrick Collison 和 John Collison等人纷纷出资,利奥波德还聘请了Carl Shulman担任研究主管,45 岁的Carl Shulman曾就职于 Peter Thiel 的 Clarium Capital。此外还有西海岸的家族办公室与大学捐赠基金。当然,利奥波德也将自己的所有净资产投入该基金。

Situational Awareness 的策略很简单:它押注于可能受益于人工智能的全球股票——半导体、基础设施和电力公司。在今年上半年,实现了扣除费用后 47% 的收益。

02、

关键战役:DeepSeek冲击

利奥波德的开局不错。

2025年初,华尔街面临了一次“DeepSeek冲击”。令市场震惊的不仅是其性能逼近美国顶尖大模型,更在于其极高的推理效率和极低的训练成本,被称为 AI 界的“Sputnik Moment”。投资者担心美国的技术护城河被打破,纷纷抛售 AI 股票。

这时,利奥波德体现了他“内部人士”的认知优势,他向焦虑的 LP 们表示,他和研究主管 Carl Shulman 早就关注到了 DeepSeek 的进展。

他判断市场反应过度,这并没有改变算力竞赛的终局——甚至因为证明了 scaling law 的有效性而加强了算力需求——因此选择逆势加仓。

在2025Q1,他把英特尔买到了全基金一半仓位(当然这可能是另一个故事,后面细说),还有博通、CoreWeave、IREN、Applied等等。

甚至另一家大型科技基金的基金经理,在听到“利奥波德说没问题”之后,也按兵不动,没有抛售股票。以至于后来不少科技基金都在思考,自己的团队里,是不是也需要从AI公司里挖一个这样的“内部人士”。

这次战役确立了Situational Awareness的江湖地位。利奥波德不再只是一个乳臭未乾的年轻人,他成为了链接硅谷与华尔街的”内部人士“。

03、

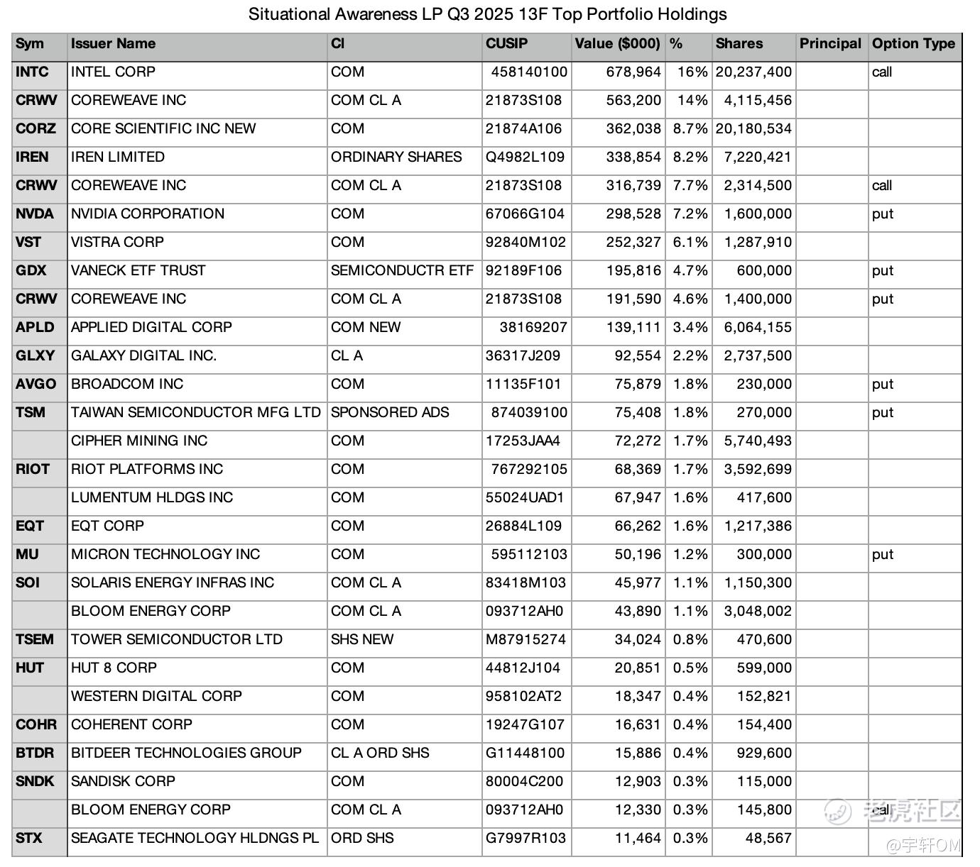
深度解析:从13F持仓来看投资思路

利奥波德至少在两个地方,体现了他“AI内部视角”的价值。一个就是我们刚刚说的Deepseek冲击,另一个更为重要,就是利奥波德在一季度买入4.59亿美元的英特尔看涨期权,后来在夏季,英特尔大幅上涨。

下面,我们就通过13F,来窥探一下利奥波德的“魔法”。

不过请注意,13F的披露也是有限的,与巴菲特、李录这样的价值投资者不同(价值投资者调仓很少,经常一买就是好多年),对冲基金调仓很快(可能一个季度内已经交易好几次),并且伴随大量金融操作(13F只要求披露Call和Put方向,并不会披露更多细节,比如买的是什么时候到期的PUT,这个事关是做空还是给自己加保护),所以我们只能大致窥探一下他的思路,不可作为自己的交易指引。

从Situational Awareness的持仓披露,我们可以清晰地看到他投资逻辑的三个演变阶段:

第一阶段:2024 Q4 —— 抢占“物理世界的瓶颈”

在基金刚成立不久的2024年四季度,利奥波德的持仓与其论文中的第四章《工业动员》高度重合。

如果你翻看当时的13F文件,你会发现前五大持仓中并没有那个众所周知的名字——英伟达。相反,名单上充满了显得有些“枯燥”的工业名字:

  • Vistra Corp (VST):独立发电商。

  • Talen Energy:拥有核电资产的能源公司。

  • Constellation Energy (CEG):美国最大的无碳能源生产商。

  • Vertiv Holdings (VRT):数据中心液冷技术供应商。

利奥波德在这一阶段的下注非常明确——就是基础设施,他在赌“吉瓦级(GW)集群”的出现。他在论文中计算过,训练GPT-6或GPT-7级别的模型,需要的一个数据中心所消耗的电力,相当于整个俄亥俄州的用电量。

当时市场还在疯狂追逐大模型和GPU,但硬件基础设施是刚性约束。拥有核电站并在数据中心旁边“直连”供电的公司,将掌握AI时代的“新石油”。

这一阶段的操作风格是典型的Long Only(只做多),目标是那些拥有不可复制物理资产的公司。

第二阶段:2025 Q1 —— “美国制造业回流”与逆势豪赌英特尔

在2025年Q1,利奥波德的持仓发生了重大变化,这也是他在当时最具争议、风险最大,但最终获利最丰厚的一次操作。

根据13F,他大笔买入了名义价值高达4.59亿美元的英特尔看涨期权(Call Options)。

当时这个操作极具争议。英特尔一度是华尔街的笑话,制程落后,代工业务亏损,成长性远不如英伟达。

但利奥波德看中的不是财务报表,而是地缘政治。

他在《态势感知》文章中,反复强调“国家安全”和“供应链回流”。他的论点是:美国政府绝不允许AI的未来完全依赖于台积电。无论英特尔多么烂,它是美国唯一的选择。这笔交易赌的就是《芯片法案》的后续补贴,以及美国采取“举国体制”,保英特尔的决心。

事实证明他赌对了。随后的几个月里,随着地缘局势紧张加剧,以及关于英伟达注资,或通过英特尔代工的新闻流出,英特尔股价迎来暴涨。而这笔逆势的Call Option,可能让利奥波德在新闻宣布的当天,一天赚了10亿美元,整个基金规模,基本上只靠这笔就翻了一倍。

第三阶段:2025 Q2 —— “台湾对冲”与半导体做空(关键转折)

这是最值得玩味的一个季度。根据13F,利奥波德在Q2的第一大重仓,赫然是半导体ETF(Semiconductor ETF)的看跌期权(Put)。当然,同期他的英特尔Call还在维持,并没有变化。

许多人会问:既然看好AI,为何要做空半导体指数?这里面我觉得有两层解释,不一定对,欢迎讨论:

第一层是基于保护的目的。因为手里有太多英特尔的Call,这样激进的策略,会让LP疯掉,也容易在宏观变动中万劫不复。所以需要通过做空行业ETF,来自己的持仓加一层保险。

第二层,如果我们更深度的去看,利奥波德想赌的,似乎是“分化”。这是一种在对冲基金中的成熟操作:“Long Single Stock Call + Long Sector ETF Put”(做多单一个股 + 做空行业ETF),通常称为“阿尔法-贝塔分离”(Alpha-Beta Separation),或是期权配对交易(Options Pairs Trade)的变种。

他认为半导体行业(Beta部分),因为地缘政治(TW风险)会下跌,因为主流半导体ETF(如SMH)的权重股,通常由台积电(TSM)和深度依赖台积电的英伟达组成。

但他看好的英特尔(Alpha部分),因为“代表美国本土供应链”属性会上涨。如果这件事情发生了,这时候他的操作,会让他赚两份钱:一份是英特尔上涨的钱,一份是行业下跌的钱。

另一点则是技术路线分歧。当时市场上对Scaling Law是否会放缓、大模型“撞墙”有很多讨论,如果Scaling Law确实放缓,会导致芯片需求短期过剩。通过做空指数,他规避了整个板块的Beta风险,同时保留了对“电力”和“美国制造”的Alpha敞口。

以及,他在Q2高位清仓了CoreWeave,完美避开了7、8月份的暴跌。

第四阶段:2025 Q3 —— “Neoclouds”重新崛起与延续“分化”

到了最新的Q3持仓,利奥波德进行了更复杂的仓位轮动。这一次,他似乎正在准备迎接AI泡沫与结构性分化。

他的主要操作有:

1、 做空/对冲:英伟达与台积电:他大幅减少了对半导体ETF的Put,相比上季度只保留了三分之一,但买入了英伟达(NVDA)、台积电(TSM)、博通(AVGO)和美光(MU)的Put。

2、 重仓“新云”Neoclouds:除了英特尔的Call一点没动,基金的前几大持仓变成了CoreWeave、Core Scientific和IREN这些核心的Neoclouds公司。

对于第一点(做空/对冲:英伟达与台积电),我觉得这是一个更精细化的调仓,因为他原来大幅做空的半导体ETF,虽然大头是英伟达、台积电,但仍然也包含了他极度看好的英特尔。

在Q2,当英特尔还没起色时,做空ETF的副作用不大。但在Q3,英特尔已经成为他的第一重仓(因为英伟达投资英特尔的新闻,让其价值大幅增长)。如果继续通过做空ETF来对冲,在Q3英特尔大幅上涨后,副作用变得太大,变得“左右互搏”。

所以在减少做空ETF后,他选择了“精确制导”,直接买入这四家公司的 Put,这背后是认为,AI硬件产业链存在泡沫。

英伟达(GPU)、博通(网络互连)、美光(HBM内存),这是“训练端”的三驾马车。我认为利奥波德深受“Scaling Law边际递减”理论的影响,这一点在DeepSeek崛起后被放大。他担心在GPT-5或下一代大模型发布前,巨头们会因为短期看不到回报而减缓采购硬件。

为了规避这个“Air Pocket”(气穴效应)风险——即需求突然断档的一个季度,这就是构建Put组合的价值。如果发生,这些高估值股票会暴跌 30%+,而Put会翻10倍。

当然,还有就是利奥波德继续赌地缘政治的“TW对冲”,毕竟他最重要的仓位是英特尔Call,核心价值在于“美国制造”和“供应链安全”,这种对冲既然不通过ETF完成,那就精准做空产能依赖TW的公司:英伟达、台积电、美光(DRAM产能集中在TW)等等。

对于第二点(重仓“新云”Neoclouds),列奥波德在Q3非常果断。根据13F,他在Q3大幅增持了CoreWeave的敞口,并且还买入了Core Scientific和IREN同属于Neoclouds行业的公司。

这些公司曾被视为比特币矿工,但现在它们拥有最宝贵的资源:已经接入电网的数据中心机架。亚马逊和微软建设新数据中心,往往需要3-5年(受限于电网审批),而这些“新云”公司可以立刻提供算力托管。

不过,整个持仓中最令人费解,也许也是最能体现利奥波德投资哲学的,是他对CoreWeave的操作:构建了一个罕见的“三位一体”持仓结构,同时持有正股(5.6亿美元)、Call(3.17亿美元)、Put(1.9亿美元)。

这是什么意思?既买涨又买跌?(以下分析欢迎探讨)

我们知道,CoreWeave是Neoclouds里面最激进、杠杆最高的公司(你可以去看我之前写的对Neoclouds的分析文章),CoreWeave在未来十年,绝不会是平庸的线性增长,要么是天堂,要么是地狱。所以:

  • 持有正股——基础层:赌AGI的奇点时刻,指数级爆发,这是基本盘。

  • 持有Call——杠杆层:这表明他极其看好后续的爆发力。通常领口策略是卖出Call来通过权利金补贴买Put的费用,但他这里显示是持有(Long)Call。

  • 持有 Put——保险层:这是给正股买的“保险”。他在CoreWeave这一支股票上,押注了接近9亿美元的多头,如果AI泡沫突然破裂,或者CoreWeave暴雷,比如资金链断裂,他的基金会归零,而Put是一张“诺亚方舟船票”。

“正股+Long Call”是极度看涨(加杠杆);“正股+Long Put”是为了预防极端风险。这意味着,他不在乎CoreWeave的股价是涨 10% 还是跌 10%,他在乎的是它会不会涨 10 倍,或者归零。但他也不敢裸奔,必须防范类似于“资金链断裂”或“AI泡沫破灭”导致的归零风险。

所以,最后我们综合Q3的13F来看,列奥波德似乎是构建了一个类似杠铃策略(Barbell Strategy)的结构组合:一边是极高风险的看涨期权,一边是防守型的看跌期权。

  • 一头是进攻:英特尔Call、CoreWeave Call(赌几十倍回报)。

  • 一头是防守/巨灾保险:英伟达、博通、半导体ETF的Put(赌崩盘)。

  • 中间空空如也:他几乎不持有那些平庸的、低波动的资产。

不过在最后,我还要再强调一下,因为13F披露的局限性,我们不可见基金的卖出(Short)头寸,这使得我们分析组合策略有很大的盲区,也许他同时在场外卖出了更高行权价的Call(构建牛市价差 Bull Call Spread)?或者他卖出了Put?(以上分析仅供参考,欢迎一起学习讨论)

04、

23岁与15亿美金

年轻、叛逆、激进、拥抱变化、充满求知欲,这就是23岁的特质。

不幸的是很多“老登”投资人失去了这些特质,曾经的成功或失败经验,让他们狂妄自大或排斥变化,从而也令年轻人有了新的成长空间。

列奥波德曾经所在的OpenAI的“超级对齐”(Superalignment)小组,这是一个致力于防止AI毁灭人类的小组,但在2024年4月,他缺因涉嫌泄露机密信息被解雇。这一事件本可能终结一个年轻研究员的职业生涯,但在硅谷这个崇尚叛逆的地方,列奥波德反手将这次解雇变成了一枚勋章。

他把自己塑造成了一个“被压制的真相持有者”,几个月后,就发布了那份著名的 PDF——Situational Awareness(态势感知)。

文中,列奥波德抛出了那个著名的暴论:“到 2027 年实现 AGI 是惊人地可信的(strikingly plausible)。” 他的逻辑简单粗暴:看看算力增长的曲线吧。这不需要复杂的模型,只需要相信图表上的曲线。

列奥波德为了强调这一点,他用2020年初的新冠疫情举例——当时,只有少数人意识到疫情指数级传播的后果,少数人理解即将到来的经济冲击的规模,并在崩盘前通过做空获利。“我当时能做的,只有买口罩和做空市场,”他写道。

同样地,如今也只有极少数人,真正理解AGI的到来速度——“这个世界上只有几百位有先见之明的人,才能预见 AI 的未来,而他们大多身处旧金山和 AI 实验室。”

而那些及早行动的人,将有机会获得历史性收益,他再次将自己置于这少数先见之明者之列。

Situational Awareness对冲基金的募资成功,某种程度上是“叙事”的极致胜利。这让这位23岁的年轻人,不仅赢得了金钱,还在某种程度上赢得了“定义权”,而对于很多基金来说,这一点是最高级别的PR。

我未来会再写一篇文章,结合一些案例,来聊聊AI时代如何做基金品牌,如何做一支AI Native的基金,欢迎交流~

免责声明:上述内容仅代表发帖人个人观点,不构成本平台的任何投资建议。

精彩评论

我们需要你的真知灼见来填补这片空白
发表看法
2