上证指数跟踪更新及关于赌财报的真相

收割队
2019-11-19


/


01

上证指数跟踪更新

关注本号的朋友都知道,本号一开始就写过一篇上证指数简明观察指南,另外前段时间也分享过上证指数即将面临方向选择。

今天上午上证突破了前几天的盘整区间高点2919,说明下方支撑暂时有效,三角区间逐渐收窄,上证本月可能会面临方向选择。

另外,正好看到有类似观点:https://www.youtube.com/watch?v=fqf68nHCAPw (视频:恒生指数/沪深300带有特殊意义的月K线),从月线角度解释了恒生指数及沪深300的观察方式,有兴趣的朋友推荐去看下视频。

$上证指数(000001.SH)$  $沪深300(000300.SH)$  $恒生指数(HSI)$ $德银沪深300指数ETF(ASHR)$ $香港ETF-iShares MSCI(EWH)$  $中国大盘股ETF-iShares(FXI)$ 

△上证指数 日线


02

赌财报的真相

承认有点标题党了,但是观察下来,确实有不少人不知道自己为啥赔钱。

之前看到有人问为啥财报后股价涨了,call还会跌;另外还有人问某某股票财报怎么看,我的意见都是不推荐用期权赌财报

这里有个小常识,财报后隐含波动率IV(Implied Volatility)会崩塌,几乎所有的股票财报后都是这样,只要不是财报后大涨大跌,call就赚不到钱,put也是一样的道理,所以大部分时候call和put双杀,这就是不推荐用期权赌财报的原因。

隐含波动率IV(在香港普遍称为引申波幅),是通过期权价格推算出来的股价未来的波动率(比如恐慌指数VIX衡量的是标普500指数期权未来30天内的隐含波动率)。

$VIX波动率1911(VIX1911)$  $标普500ETF(SPY)$  $SP500指数主连(ESmain)$ 

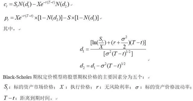
由于期权定价模型(如BS模型)给出了期权价格与五个基本参数(标的股价、执行价格、利率、到期时间、波动率)之间的定量关系,只要将其中前4个基本参数及期权的实际市场价格作为已知量代入定价公式,就可以从中解出惟一的未知量,其大小就是隐含波动率。

△BS定价模型


财报前IV一般会升高,因为标的股票的潜在波动范围变大,根据期权定价公式,IV越高,期权价格越高。

举2个例子,FB和BIDU(前几天给群友分享时候的截图,所以价格不是最新的,不影响理解),可以看到财报公布后,IV都会崩塌,其他股票也是如此,不一一举例。

$Facebook(FB)$  $百度(BIDU)$ $哔哩哔哩(BILI)$  $拼多多(PDD)$  $网易(NTES)$ 

△FB 财报后IV崩塌

△BIDU财报后IV崩塌

免责声明:上述内容仅代表发帖人个人观点,不构成本平台的任何投资建议。

精彩评论

  • 小虎AV
    2019-11-19
    小虎AV
    楼主自己做视频吗?
  • 收割队
    2019-11-20
    收割队
    $拼多多(PDD)$ 昨天还有人问我来着,对pdd财报是否看多? 答:对财报不看多也不看空 ,影响股价的因素是多方面的,不仅仅是财报,还有下季度指引、市场情绪等等,我的建议就是不要赌财报,如果有正股且有一定盈利,赶紧买期权对冲。
发表看法
4
2