群雄逐鹿,合资新能源强势反扑——2025上海车展两大看点

新能源Bot
05-02

2025 上海车展临近尾声,回顾展会,有两点感受尤为深刻:

1. 旗舰大 SUV 的竞争白热化;
2. 合资品牌在新能源领域的强劲反扑。

先聊聊第一个,旗舰大 SUV 的激烈角逐,不仅是本届上海车展的主题,更可能是这两年行业竞争的主旋律。 $小鹏汽车-W(09868)$ $小鹏汽车(XPEV)$

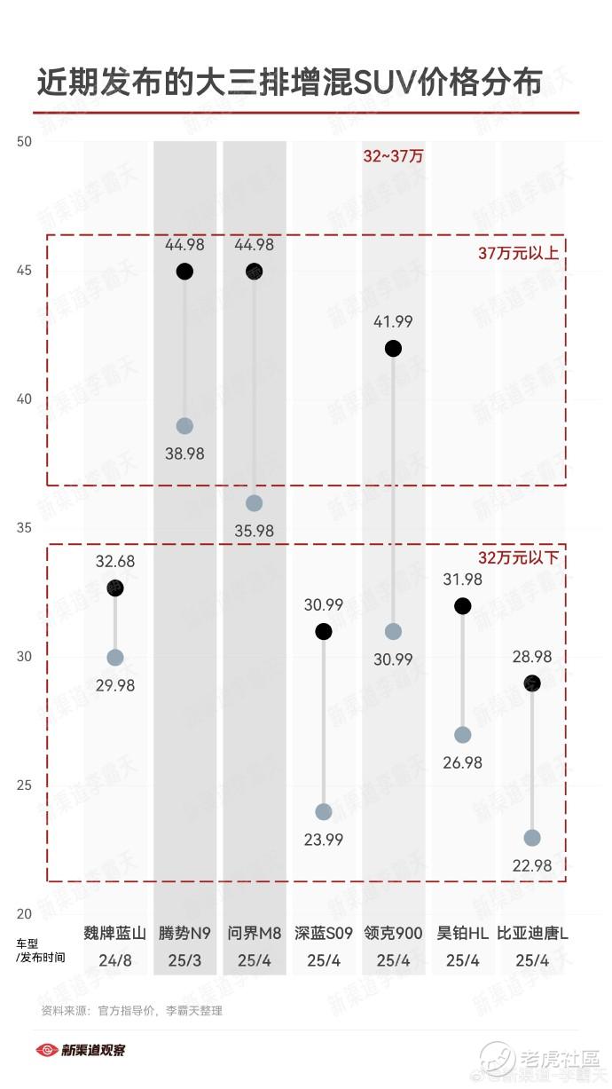
结合新上增混大 SUV的定价(图2)和整体市场全景图(图3)来看,暂时还没有车型选择直接竞争问界 M9; $赛力斯(601127)$ $小米集团ADR(XIACY)$ $小米集团-W(01810)$

大多还是将目标瞄准理想 L9,要么「同价硬刚」,要么「低价平替」。 $理想汽车(LI)$ $理想汽车-W(02015)$

随着理想 L 系列于 5 月迎来更新,就能陆续揭晓答案:哪些新车「能上牌桌」,哪些新车是「重在参与」 $极氪(ZK)$ $蔚来(NIO)$ $蔚来-SW(09866)$ $蔚来(NIO.SI)$

当然,还有一些强有力的竞争者,还在路上。

来源:微博 新渠道-李霸天

新加坡投资圈
虎友们想了解的新加坡股市、基金等投资机会都在这里!
免责声明:上述内容仅代表发帖人个人观点,不构成本平台的任何投资建议。

精彩评论

  • Tao310
    05-06
    Tao310
    只能买BBA了
发表看法
1