价值已死?股票死没死?
在过去的十年中,价值投资的表现不佳导致各种媒体以及大V频频抛出价值投资已死的结论。从2009年到2019年,根据Fama-French的数据,标普500的年化收益率为14.2%(累计总收益为290%),而大盘价值指数的年化收益率为11.3%(累计总收益为200%),小盘价值指数的年化收益率为13%(累计总收益为249%)。数据也确实在过去10年中支持了这种言论。
首先先解释一下,关于价值投资的定义,我们说价值投资,是基于格雷厄姆的原教旨价值投资,也就是区别于成长型投资的一种投资方式。而目前国人普遍理解的价值投资是,“只要研究基本面就是价值投资”,这是有区别的。另外,我们讨论一种投资方式是否死亡,并不是说这种投资方式无法盈利,而是相对于基准来说,这种投资方式是否有超额收益,解释完毕。$老虎证券(TIGR)$
聊这个话题之前,先讲一个小故事,让我们回顾一下1979年8月13日出版的美国著名财经杂志《商业周刊》,当时封面印刷的四个大字,“股票已死”。并且正文中详细解释了原因:
1,自1970年以来,至少有700万股东离开了股票市场。
2,股票市场的参与者中出现前所未有的庞大机构投资者。
3,养老金政策不仅可以投资于股票和债券,还可以投资房地产,大宗商品,甚至黄金钻石。
4,大型机构可以从股票和债券市场进行几十亿美元的撤资。
并且,商业周刊还为上述结论提供了强有力的证据:
“在上世纪60年代之前的四十多年来,股票的平均年收益为9%,而AAA债券却很少支付超过4%的收益。但是今天,情况发生了逆转,十年长期债券收益率为11%,而股票的平均收益率不到3%。”
这导致商业周刊得出了如下结论:
“股市的死亡不会因为股价暂时反弹而停止,只有不了解金融变化或者无法适应变化的老年人才会坚持持有股票。”
综上所述,商业周刊发表了著名的警告:
“不论未来如何,美国经济可能不得不把股市的死亡视为一种永久的状态。”
现在我们知道,标准普尔从当时预测股票死亡到今天,每年以约11.5%的回报率,啪啪打脸专家的预测。
“股票以死”的案例跟当前围绕着“价值投资已死”的论调有着惊人的相似性。
长期看来,价值投资存在着巨大的超额收益,但是这种超额收益经常会随着时间的推移而发生变化,如你所见,近10年来,价值投资确实表现不佳,但是人们的记忆总是短暂的,让我们用数据说话,看看历史上价值投资与成长投资的表现。
1994年~1999年期间
标普500指数 年化收益23.6%,总收益,256%
大盘价值指数 年化收益16.4%,总收益,148%
小盘价值指数 年化收益18.2%,总收益,172%
2000年~2007年期间
标普500指数 年化收益1.7%, 总收益,14.1%
大盘价值指数 年化收益7.1%, 总收益,73.6%
小盘价值指数 年化收益16.2%,总收益,232.1%
数据已经很清晰了,价值投资总是在失效,有效之间游荡,那么,如果把时间继续拉长,价值投资的总体效果又会如何呢?
这一次,我们分析1966年~1982年
标普500指数 年化收益6.8%, 总收益,206%
大盘价值指数 年化收益11.9%,总收益,574%
小盘价值指数 年化收益16.9%,总收益,1323%
1月期美国国债 年化收益7.1%, 总收益,218%
在这17年的期间,标普500指数不仅跑输了大盘价值指数与小盘价值指数,甚至跑输了1月期美国国债,不仅如此,如果我们继续回顾历史,在2000年到2012年这13年以及1929年到1943年这15年中,标普500指数的表现都不如完全无风险的1月期美国国债,请注意,这三个期间共计45年,几乎是一般人一生的投资年限。而与此同时,在每一个时段内,价值投资均跑赢了标普指数。
以上例子证明了价值投资的有效性,我们再来讨论一下,价值投资为什么有效?
可以基于二种角度考虑,角度一,风险补偿。我们知道,与成长型公司相比,价值型公司收益和利润较差,如何再叠加外部经济环境不景气,会产生较高的风险。因此,投资者要求价值股票的预期收益率要高于成长股票,以补偿由于财务困境以及外部环境产生的高脆弱性。而只有较低估值才会保证这种高预期收益率(简单理解,如果把PE的倒数看成预期收益率,那么PE越低,预期收益率越高)。根据均值回归理论,估值总会回归,从而价值投资有效。
角度二,交易者行为异常。投资者对成长型公司的业绩预期总体是上过于乐观,而对价值型公司的业绩预期过于悲观。最终,当预期无法满足时,成长型会因为之前过度乐观导致的价格高估而损失惨重。而价值型公司却由于过度悲观而在危机降临时做好充分准备,导致价值投资有效。
我们再试着讨论下,当前价值投资为何表现不佳?
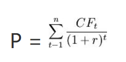
这是一个标准的基于现金流体现法估值的模型。
P=企业的估值。
n=企业的寿命。
CFt=企业在t时刻内产生的现金流。
r=预期现金流的折现率。
第一个要考虑的是,t,也就是现金流持续的时间,对比价值型股票与成长型股票的现金流存续期,成长型股票的收益更多的是遥远的未来,而价值型股票的现金流大多产生于现在而未来悲观,所以,成长型的股票现金流的存续期要比价值型股票更长。而t越长,整体估值也就越高。
然后我们再考虑r,也就是折现率。折现率是指将未来的预期收益折算成现值的比率。通常,折现率与当时的利率水平有着紧密的关系。虽然折现率并不等于利率,利率是资金的报酬,而折现率是管理的报酬。但是管理的报酬中除了使用条件,占用者和使用途径的差异外,很大一部分可以解释为资金本身的报酬,也就是利率。
让我们看一下2007年金融危机爆发后全球的利率表现:
利率的表现一路向下,较低的利率也就意味着较低的折现率,而对于成长型股票来说,更低的折现率代表着未来高收益的现值也更高,也就是整体估值更高。
根据现金流贴现估值模型,更长的存续期以及更低的折现率推动着整体估值变得更高。从而在最近10年内表现亮眼,收益战胜基准以及价值投资。
最后,再让我们换一个角度看待成长投资与价值投资。
我们都知道,万事万物都有周期性,而周期性最有代表的一个结论是,人多的地方不要去。当强周期的良好表现把大家都拥挤到一个地方,最后必然人满为患而高估,为下一个周期埋藏好爆炸的种子。现在我们看一下成长投资与价值投资哪里更拥挤。
1994年,美国大型成长股指数的市净率为价值股指数的2.1倍,市盈率是价值股指数的1.5倍。
而今天,美国大型成长股指数的市净率为价值股指数的3.3倍,市盈率依然是价值股指数的1.5倍。
也就是说,在盈利角度基本没有变化的情况下,成长型股票被广大投资者乐观的涌入导致整体估值从2.1价差提升到了3.3价差。人满为患从来都不是好事情!
总结一下!
对于投资者,如何面临选择。未来无法预测,正如我们分析利率影响估值一样,没有人知道未来利率会如何走,欧洲已经开始了负利率之旅,给本来确定的底线划出了无限空间。在这个全球科技修修补补,没有飞跃式发展的今天,靠着科技改变生产力提升资本收益率的道路越来越难走,如果我们把全球想象成一个大公司,在这个公司资产负债表的左端,资产端的收益率越来越低,而为了让这个公司还可以继续活下去,只能依靠右边负债端的成本降低,而负债,也就是钱的成本是利率,这也就直接导致了全球利率向着深渊走的越来越远。更低的利率会推动成长型股票更高的估值。
而我们再换一个角度考虑,科技发展从来都不是线性的,乔布斯的苹果想法从车库中冒出来之前,诺基亚还在傲视群雄,因特网这种本来应用于军方的技术现在已经飞到全球各个角落。对于未来,一切皆有可能。谁又知道阅读本文的小伙伴会不会因为一个思想的火花迸发出引领世界的科技革命呢?
我们怎么办?一种方便的途径,不要去选择押宝,而是多元化。通过同时持有成长型股票以及价值型股票来应对未来所有可能,保持各种风险敞口,获取对应风险补偿,让自己的整体投资更加强健。如果你比较年轻,有更多的风险承受能力,可以选择超配一些成长型股票,因为你有足够长的投资时间来应对成长型股票的崩溃以及恢复,并且享受高成长带来的高年化收益;而如果你年纪比较大或者已经退休,那么建议超配一些价值型股票,价值型股票的低波动可以保证你不会承担过多的市场风险,并且当前价值型股票普遍的高分红又可以覆盖你平时的消费需求。
投资就是这样,短期会出现很多痛苦,而正是因为承担痛苦,才会有收获的喜悦,用一句我特别喜欢的英文结尾:“No pain, no premium”
谢谢观看,我是小喵,一只全球买买买的配置喵!
免责声明:上述内容仅代表发帖人个人观点,不构成本平台的任何投资建议。


